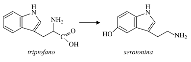
Segundo a Organização Mundial da Saúde (OMS), atualmente cerca de 5% da população mundial sofre de depressão. Uma das substâncias envolvidas nesses distúrbios é o neurotransmissor serotonina, produzido no metabolismo humano a partir do triptofano. O processo metabólico responsável pela formação de serotonina envolve a reação química global representada pela equação não balanceada fornecida a seguir

A reação de conversão de triptofano em serotonina ocorre em duas etapas metabólicas distintas. Com relação a essas duas substâncias e ao processo metabólico em que elas estão envolvidas, é correto afirmar que