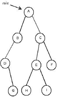
Observe a árvore a seguir.

Assinale a opção que apresenta o percurso em pré- ordem da árvore binária acima.
Provas
Questão presente nas seguintes provas
Observe a árvore a seguir.

Assinale a opção que apresenta o percurso em pré- ordem da árvore binária acima.