Magna Concursos
Questões
Planos
Entrar
Entrar
Criar Conta
Respondida
1778894
Ano:
2017
Disciplina:
TI - Desenvolvimento de Sistemas
Banca:
UFMT
Orgão:
UFMT
Provas:
Analista de TI - Análise de Sistemas
Provas
×
Engenharia de Software
UML: Unified Modeling Language
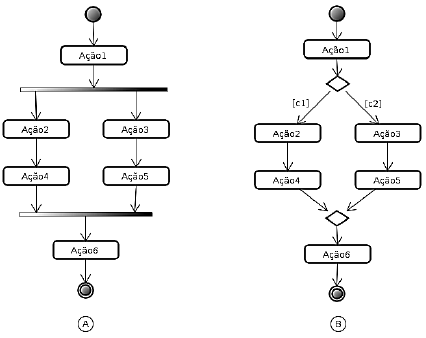
Analise os diagramas de atividades fornecidos, construídos segundo notações da linguagem de modelagem UML (Linguagem de Modelagem Unificada).
Sobre os diagramas, assinale a afirmativa correta.
A
No diagrama A, existem ações que serão executadas em paralelo.
B
Nos diagramas A e B, os símbolos de início e fim foram usados de maneira errada.
C
Embora tenham sido usados símbolos diferentes, os diagramas A e B representam o mesmo fluxo.
D
No diagrama A, as duas barras horizontais possuem o mesmo significado, ou seja, trata-se do mesmo elemento.
Resolver
Comentários
0
×
Cadernos
×
Flashcards
×
Estatísticas
×
Reportar um erro
×
Provas
Questão presente nas seguintes provas
Analista de TI - Análise de Sistemas
60 Questões
Resolver Prova
Publicar
Responder
Qual o problema da questão?
Selecione uma opção
Questão Desatualizada
Questão Repetida
Gabarito Errado
Outros Motivos
Mensagem
Enviar
Acessar
Criar Conta
Acesse sua Conta
Google
Facebook
Esqueci minha senha
Acessar
Ainda não tem conta?
Crie uma
!
Crie uma Conta
Criar Conta
Olá, para continuar, precisamos criar uma conta!
É
rápido
e
grátis
.
Google
Facebook
Concordo com os
Termos de Uso
Criar
Já tem uma conta?
Acesse aqui