Magna Concursos
1810640 Ano: 2011
Disciplina: Física
Banca: CESPE / CEBRASPE
Orgão: SEDUC-AM
Provas:

Enunciado 1810640-1

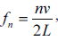
Uma corda vibrante de comprimento L, presa nas extremidades, apresenta um conjunto de n frequências naturais de vibração dadas por Enunciado 1810640-2, em que v é a velocidade de propagação da onda nessa corda.

 

Provas

Questão presente nas seguintes provas

Professor - Física

120 Questões