Magna Concursos
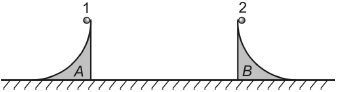
Considere duas rampas A e B, respectivamente de massas 1 kg e 2 kg, em forma de quadrantes de circunferência de raios iguais a 10 m, apoiadas em um plano horizontal e sem atrito. Duas esferas 1 e 2 se encontram, respectivamente, no topo das rampas A e B e são abandonadas, do repouso, em um dado instante, conforme figura abaixo.
Enunciado 2716262-1
Quando as esferas perdem contato com as rampas, estas se movimentam conforme os gráficos de suas posições x, em metros, em função do tempo t, em segundos, abaixo representados.
Enunciado 2716262-2
Desprezando qualquer tipo de atrito, a razão !$ \large{m_1 \over m_2} !$ das massas !$ m_1 !$ e !$ m_2 !$ das esferas 1 e 2, respectivamente, é
 

Provas

Questão presente nas seguintes provas