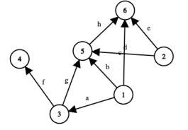
Observe a estrutura do dataset ilustrado a seguir

Para armazenar o dataset ilustrado, é necessário utilizar o banco de dados NoSQL:
Observe a estrutura do dataset ilustrado a seguir

Para armazenar o dataset ilustrado, é necessário utilizar o banco de dados NoSQL: