Magna Concursos
726496 Ano: 2019
Disciplina: Matemática
Banca: IBADE
Orgão: Pref. Aracruz-ES
Provas:

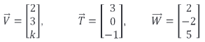
Marque a alternativa que apresenta o valor de para que o vetor enunciado 726496-1 seja uma combinação linear dos vetores enunciado 726496-2 e enunciado 726496-3
enunciado 726496-4

 

Provas

Questão presente nas seguintes provas

Professor - Matemática

60 Questões