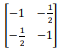
A figura a seguir apresenta um circuito composto por uma associação mista de resistores e duas fontes de corrente.

Sabendo que todas as resistências são 2Ω, a matriz de admitância nodal Y do circuito é
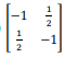
A figura a seguir apresenta um circuito composto por uma associação mista de resistores e duas fontes de corrente.

Sabendo que todas as resistências são 2Ω, a matriz de admitância nodal Y do circuito é