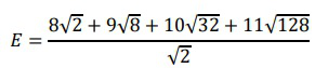
Considere o número real E tal que
Então, o valor de E, feitas as devidas operações e simplificações, corresponde a
Olá, para continuar, precisamos criar uma conta! É rápido e grátis.