
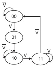
Deseja-se implementar o diagrama de estados da figura acima, usando dois flip-flops tipo D, que oferecem as saídas QBQA, onde QB é o mais significativo. A menor soma de produtos que deve ser ligada à entrada DB é
Provas
Questão presente nas seguintes provas
Engenheiro Eletrônico - Manutenção Industrial
30 Questões