Magna Concursos
2104502 Ano: 2021
Disciplina: Química
Banca: UFPR
Orgão: UFPR
Provas:
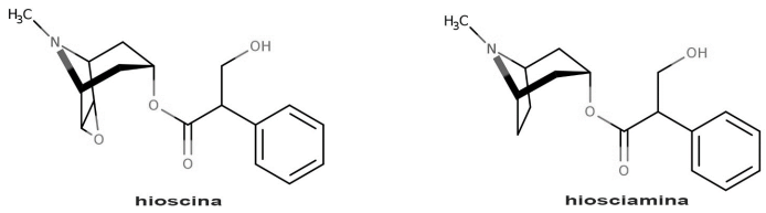
No livro Harry Potter e a câmara secreta, os protagonistas têm uma aula sobre a colheita da mandrágora, uma planta capaz de produzir uma poção restaurativa. De fato, a mandrágora é uma planta que foi associada às práticas de bruxaria na Idade Média. Herboristas da época, na maioria mulheres, eram frequentemente acusadas e condenadas à fogueira por bruxaria. Essas mulheres detinham o conhecimento para extrair o extrato da raiz de mandrágora e preparar um unguento, à base de óleos ou gordura animal, com propriedades medicinais, anestésicas e (em doses mais altas) alucinógenas. Os dois principais alcaloides presentes na raiz da mandrágora são hioscina e hiosciamina, cujas estruturas são mostradas a seguir:
enunciado 1214129-1
Esses alcaloides apresentam alta combinação com óleos e gorduras bem como baixíssima solubilidade em água. Isso se justifica porque eles:
 

Provas

Questão presente nas seguintes provas

Professor Substituto

60 Questões