Magna Concursos
2177115 Ano: 2022
Disciplina: Engenharia Eletrônica
Banca: UFAM
Orgão: UFAM
Provas:

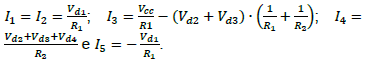
Considere o circuito a seguir:

Enunciado 3357889-1

Assinale a alternativa que apresenta os valores CORRETOS das correntes I1, I2, I3, I4 e I5:

 

Provas

Questão presente nas seguintes provas

Técnico de Eletrotécnica

45 Questões