Magna Concursos
608206 Ano: 2004
Disciplina: Raciocínio Lógico
Banca: ESAF
Orgão: MPU
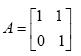
Sabendo-se que a matriz enunciado 608206-1 e que n ∈ enunciado 608206-2 e n ≥1então o determinante da matriz An– An-1 é igual a:
 

Provas

Questão presente nas seguintes provas

Analista Ministerial - Área Administrativa

80 Questões