Considere as circunferências A, B, C e D abaixo, representadas em um sistema de coordenadas cartesianas:

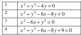
No quadro abaixo, estão apresentadas as equações das quatro circunferências anteriores:

Associando cada circunferência à sua equação obtemos:
Considere as circunferências A, B, C e D abaixo, representadas em um sistema de coordenadas cartesianas:

No quadro abaixo, estão apresentadas as equações das quatro circunferências anteriores:

Associando cada circunferência à sua equação obtemos: