1975776
Ano: 2020
Disciplina: Raciocínio Lógico
Banca: GSA Concursos
Orgão: Pref. Abelardo Luz-SC
Disciplina: Raciocínio Lógico
Banca: GSA Concursos
Orgão: Pref. Abelardo Luz-SC
Provas:
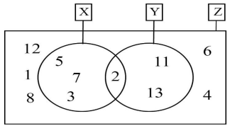
Observe o diagrama que representa os conjuntos X, Y, e Z

Dadas as afirmações julgue como verdadeira V ou falsa F
I) 3 ∈ X III) Y ¢ Z
II) 8 ∉ Y IV) {3,5} ⊂ X
Qual a sequência que representa as afirmações acima: