Magna Concursos
828180 Ano: 2012
Disciplina: Matemática Financeira
Banca: FCC
Orgão: TRT-6
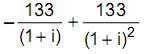
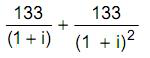
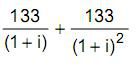
Um empréstimo de R$ 100,00 é feito para ser pago em duas parcelas mensais e consecutivas de R$ 133,00 cada uma. Supondo taxa de juros compostos e sendo i a taxa de juros mensal acordada, a expressão que representa a maneira correta para se obter i é dada por:

 

Provas

Questão presente nas seguintes provas

Analista Judiciário - Contabilidade

59 Questões