Magna Concursos
1205606 Ano: 2019
Disciplina: Matemática
Banca: IMPARH
Orgão: Pref. Fortaleza-CE
Provas:

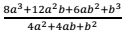
Simplificando a expressão Enunciado 1205606-1 tem-se como resultado:

 

Provas

Questão presente nas seguintes provas

Professor - Matemática

40 Questões