Magna Concursos
3522552 Ano: 2024
Disciplina: Pedagogia
Banca: FUNDEP
Orgão: Pref. Manhuaçu-MG
Provas:
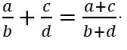
No início do ano, uma professora fez uma avaliação diagnóstica em uma turma do 8º ano e percebeu que vários estudantes, de forma recorrente, ao somar frações, somavam diretamente os numeradores e os denominadores, ou seja, Enunciado 4125151-1.

Após essa constatação, ela resolveu fazer uma atividade para superar o problema.

A atividade mais adequada, segundo a perspectiva da análise de erros apresentada por Cury (2007), é:
 

Provas

Questão presente nas seguintes provas

Professor - Matemática

40 Questões