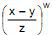
Na expressão
- as letras x, y, z e w podem ser substituídas por qualquer número inteiro de -3 a 3, sem que se possa repetir um mesmo número na mesma expressão, e desde que se possa calcular o valor numérico da expressão com as substituições feitas. Sendo M o maior valor numérico possível dessa expressão, e m o menor valor numérico possível, então M - m é igual a
- as letras x, y, z e w podem ser substituídas por qualquer número inteiro de -3 a 3, sem que se possa repetir um mesmo número na mesma expressão, e desde que se possa calcular o valor numérico da expressão com as substituições feitas. Sendo M o maior valor numérico possível dessa expressão, e m o menor valor numérico possível, então M - m é igual a