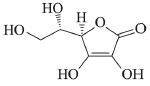
Vitamina C (ou ácido ascórbico), antitérmicos e soro fisiológico são produtos químicos utilizados como medicamentos de uso cotidiano. O ácido ascórbico é empregado na conservação de alimentos e também no combate ao escorbuto. Sua estrutura molecular é apresentada na seguinte figura.

Alguns medicamentos analgésicos que também são antitérmicos têm como princípios ativos o ácido acetilsalicílico e a cafeína. Apesar de esses dois princípios ativos apresentarem bandas sobrepostas nos espectros de emissão e excitação, sua análise quantitativa em fármacos é viável por meio da regressão de mínimos quadrados parciais (PLS – Partial Least Squares). Comparado ao método quantitativo, em que os compostos são separados e pesados individualmente para a determinação do teor de cada um na amostra, o método PLS oferece economia de tempo, reagentes e recursos financeiros.
O soro fisiológico, por sua vez, é uma solução isotônica em relação aos líquidos corporais humanos, na qual o NaCR está dissolvido em água.
Considerando as informações apresentadas, julgue o item seguinte.
O ânion presente no soro fisiológico é menor que o seu átomo correspondente neutro.