Magna Concursos
264015 Ano: 2010
Disciplina: Química
Banca: FUVEST
Orgão: USP
Provas:
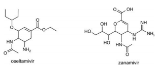
Em 2009, o mundo enfrentou uma epidemia, causada pelo vírus A(H1N1), que ficou conhecida como gripe suína. A descoberta do mecanismo de ação desse vírus permitiu o desenvolvimento de dois medicamentos para combater a infecção, por ele causada, e que continuam necessários, apesar de já existir e estar sendo aplicada a vacina contra esse vírus. As fórmulas estruturais dos princípios ativos desses medicamentos são:
enunciado 264015-1
Examinando-se as fórmulas desses compostos, verifica se que dois dos grupos funcionais que estão presentes no oseltamivir estão presentes também no zanamivir. Esses grupos são característicos de
 

Provas

Questão presente nas seguintes provas