Num sistema de coordenadas cartesianas ortogonais, verificou-se que os pontos A(a,1,a), B(2a, 1, a), C(b, a, a) distintos são colineares. Além disso o sistema:

possui solução não trivial. Logo:
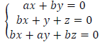
Num sistema de coordenadas cartesianas ortogonais, verificou-se que os pontos A(a,1,a), B(2a, 1, a), C(b, a, a) distintos são colineares. Além disso o sistema:

possui solução não trivial. Logo: