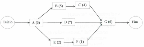
Considere o modelo proposto pelo PMI (Projecl Management Institute) para o gerenciamento de projetos e o diagrama abaixo que ilustra um conjunto encadeado de atividades e sua duração (em dias) entre parênteses:

Para que o caminho A-D-G se tome um caminho crítico, qual das alternativas representa a quantidade de dias que a atividade D deve possuir: