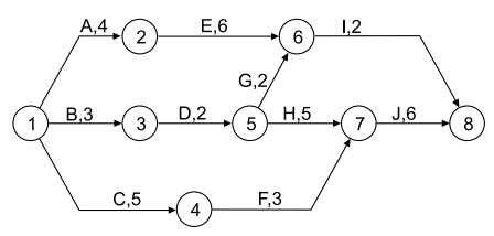
Uma obra foi planejada conforme o cronograma PERT-CPM da figura, no qual as atividades são representadas por letras, seguidas pelo seu tempo de execução, em dias.

O tempo de conclusão dessa obra, em dias, é:
Uma obra foi planejada conforme o cronograma PERT-CPM da figura, no qual as atividades são representadas por letras, seguidas pelo seu tempo de execução, em dias.

O tempo de conclusão dessa obra, em dias, é: