Magna Concursos
2730119 Ano: 2023
Disciplina: Engenharia Eletrônica
Banca: UFPR
Orgão: IF-PR

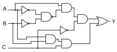
Considere o circuito lógico a seguir. É correto afirmar:

Enunciado 3461314-1

 

Provas

Questão presente nas seguintes provas

Professor PEBTT - Engenharia Eletrônica

35 Questões