A hemoglobina é uma proteína encontrada no interior dos eritrócitos que possui como função principal o transporte de gases pelo nosso corpo. A hemoglobina é uma proteína globular encontrada no interior dos eritrócitos que é responsável pela coloração vermelha do sangue. Apesar dessa característica marcante, essa não é a única função da hemoglobina, que está relacionada também com o transporte de gases e o equilíbrio ácido-base.

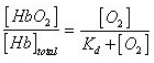
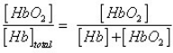
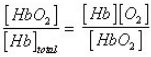
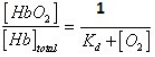
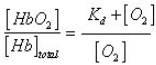
Sendo que !$ K_d !$ é a constante de dissociação, !$ [Hb] !$ a concentração de hemoglobina livre e !$ [Hb] _t !$ , a concentração total de hemoglobina, pode-se afirmar corretamente que a relação entre a concentração de hemoglobina oxigenada e a hemoglobina total pode ser dada por