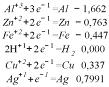
A corrosão galvânica está presente nas mais diversas condições industriais em que se realiza contato elétrico entre dois metais distintos em um meio eletrolítico. Alguns contatos elétricos típicos são: zinco com ferro, ferro com cobre e cobre com prata.
Os potenciais de redução estão apresentados a seguir.

O que se constata quanto ao favorecimento da corrosão a partir do contato entre esses elementos?
Os potenciais de redução estão apresentados a seguir.

O que se constata quanto ao favorecimento da corrosão a partir do contato entre esses elementos?