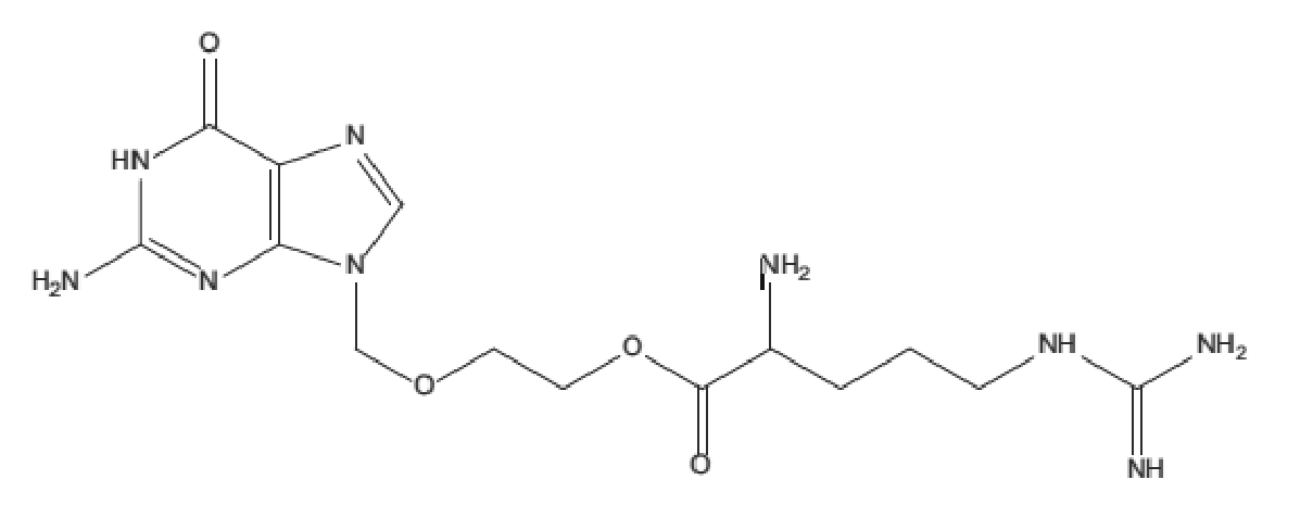
Os fármacos A e B, cujas estruturas químicas encontram-se representadas a seguir, possuem, em pH 5,5, solubilidade aquosa de aproximadamente 9 mM e 820 mM, respectivamente. Nesse pH, o fármaco A é neutro, enquanto o fármaco B possui residual de carga positiva.

fármaco A

fármaco B
Considerando essas informações, julgue os itens que se seguem, acerca da possível aplicação tópica cutânea desses fármacos.
Um creme do tipo óleo em água seria uma formulação adequada para controlar a liberação desses fármacos.