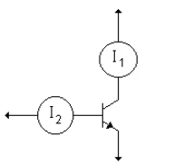
Dois amperímetros foram ligados em um circuito para medição das correntes I1 e I2 como indicado. 12 Considerando que as medidas foram I1 = 8 mA e I2 = 200 A, os valores do ganho de corrente
e o fator de cc correção do transistor são respectivamente:
