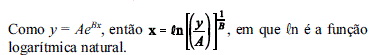
Os modelos de alguns dispositivos eletrônicos apresentam uma relação entre a grandeza de entrada e a de saída do tipo y = AeBx , em que y é a variável de saída, x é a variável de entrada e A e B são constantes reais. A respeito dessa relação exponencial, julgue os seguintes itens.
