- MicroeconomiaEstruturas de Mercado
- MicroeconomiaOferta e Demanda
- MicroeconomiaTeoria da Firma/ProdutorTeoria da produção
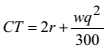
A função de Custo Total (CT) dos produtores de feijão de uma dada localidade é a seguinte:

Onde: (CT) o Custo Total;
( r ) a remuneração do capital;
(w) a remuneração do trabalho
(q) o nível de produção.
A função de Demanda do mercado de feijão é:
Qd = 7.000 - 4.000P
P é o preço de mercado. Considerando que este seja um mercado de concorrência perfeita e que existam 100 firmas atuando na venda do feijão ao mesmo nível de preços e com um valor da remuneração do trabalho de 5 unidades monetárias por jornada.
Apartir das informações apresentadas acima, o preço e a quantidade que equilibram esse mercado são, respectivamente,