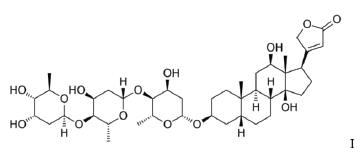
A digoxina (I), um glicosídeo cardiotônico, pode ser usada no tratamento de insuficiência cardíaca e de taquicardia, embora a sua indicação seja ainda muito controversa.

A fórmula molecular da digoxina pode ser representada corretamente por:
Provas
Questão presente nas seguintes provas
Técnico de Projetos Navais - Química/Munições
50 Questões