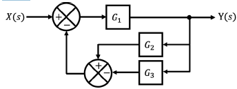
Um sistema linear invariante no tempo possui entrada X(s), saída Y(s) e pode ser representado pelo diagrama de blocos abaixo.

A função de transferência !$ {large{Y(s) over X(s)}} !$ do sistema é igual a
Um sistema linear invariante no tempo possui entrada X(s), saída Y(s) e pode ser representado pelo diagrama de blocos abaixo.

A função de transferência !$ {large{Y(s) over X(s)}} !$ do sistema é igual a