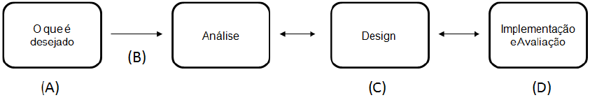
Considere a abstração do processo de design de Dix e colaboradores, expressa na figura a seguir.

Marque a alternativa que melhor associa técnicas e métodos da área de Interação Humano-Computador aos momentos (A), (B), (C) e (D) representados na figura.