De acordo com a reação em equilíbrio representada a seguir e as características ácidas-básicas dos reagentes e produtos, assinale a alternativa correta.

Dados de constantes de ionização:
Ka (álcool 1) = 1x10−16
Ka (álcool 2) = 1x10−18.
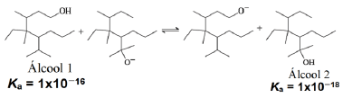
De acordo com a reação em equilíbrio representada a seguir e as características ácidas-básicas dos reagentes e produtos, assinale a alternativa correta.

Dados de constantes de ionização:
Ka (álcool 1) = 1x10−16
Ka (álcool 2) = 1x10−18.