2915370
Ano: 2022
Disciplina: TI - Desenvolvimento de Sistemas
Banca: FUNDATEC
Orgão: Pref. Foz Iguaçu-PR
Disciplina: TI - Desenvolvimento de Sistemas
Banca: FUNDATEC
Orgão: Pref. Foz Iguaçu-PR
Provas:
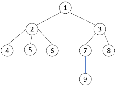
Analise a árvore abaixo:

O grau do nodo 1 e o grau da árvore são, respectivamente:
Provas
Questão presente nas seguintes provas