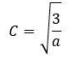
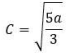
Suponha uma partícula contida em um poço quadrado inifinito, com largula que vai de x = − a até x = a. Sua função de onda é descrita como:

Podemos AFIRMAR que a constante de normalização C corresponde a:
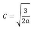
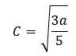
Suponha uma partícula contida em um poço quadrado inifinito, com largula que vai de x = − a até x = a. Sua função de onda é descrita como:

Podemos AFIRMAR que a constante de normalização C corresponde a: