Magna Concursos
809247 Ano: 2004
Disciplina: Engenharia Mecânica
Banca: CESPE / CEBRASPE
Orgão: PF

Acerca de mecânica dos fluidos e considerando a densidade da água igual a 1 t/m3 e sua viscosidade igual a 7,975 × 10-4 N.s/m2, julgue os itens a seguir.

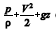
A relação Enunciado 809247-1 é constante ao longo de uma linha de corrente, caso represente um escoamento estacionário de um fluido governado pela pressão e por forças de gravidade, sem a ação de forças viscosas.

 

Provas

Questão presente nas seguintes provas

Perito Criminal - Engenharia Mecânica

120 Questões