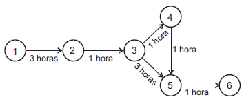
As atividades, com suas respectivas durações em horas, para a realização de manutenção preventiva em um equipamento mecânico, são ilustradas na rede PERT/CPM mostrada abaixo.

Desta forma, o número mínimo de horas para a realização da manutenção preventiva é igual a