1035633
Ano: 2016
Disciplina: Engenharia Eletrônica
Banca: CESPE / CEBRASPE
Orgão: Polícia Científica-PE
Disciplina: Engenharia Eletrônica
Banca: CESPE / CEBRASPE
Orgão: Polícia Científica-PE
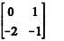
Considerando que um sistema linear seja representado pela equação ÿ(t) + ẏ(t) + 2y(t) = u(t), em que u(t) e y(t) correspondem,
respectivamente, à entrada e à saída do sistema, assinale a opção
que apresenta corretamente uma possível matriz de estados ao se
representar o sistema no espaço de estados.