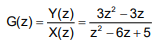
A Função de Transferência mostrada a seguir representa
um modelo de sistema discreto, linear e causal, com sinais de entrada X(z) e de saída Y(z).
No domínio do tempo discreto, quando esse sistema for submetido a uma entrada do tipo IMPULSO UNITÁRIO, x(n) = δ(n), quais serão as três primeiras amostras da resposta y(n) desse sistema, ou seja, quanto valem as seguintes amostras discretas: y(0), y(1), y(2)?
No domínio do tempo discreto, quando esse sistema for submetido a uma entrada do tipo IMPULSO UNITÁRIO, x(n) = δ(n), quais serão as três primeiras amostras da resposta y(n) desse sistema, ou seja, quanto valem as seguintes amostras discretas: y(0), y(1), y(2)?