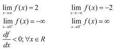
Considere a função Cotangente Hiperbólica f(x) = coth(x). A respeito do comportamento da função f(x) sabe-se que:

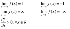
Transformando a função f(x) para: g(x) = coth(– x + 2), quais serão as alteração no comportamento da função?
Considere a função Cotangente Hiperbólica f(x) = coth(x). A respeito do comportamento da função f(x) sabe-se que:

Transformando a função f(x) para: g(x) = coth(– x + 2), quais serão as alteração no comportamento da função?