Um sistema linear, invariante no tempo contínuo, sem memória em t = 0, é definido pela equação diferencial
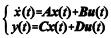
e pode ser representado no espaço de estados pelas seguintes equações matriciais:
Com base nessas informações, julgue os itens subsecutivos.
A forma canônica controlável da matriz A é dada por

Com base nessas informações, julgue os itens subsecutivos.
A forma canônica controlável da matriz A é dada por
