- Química OrgânicaCadeias Carbônicas
- Química OrgânicaReações OrgânicasReações Orgânicas: Substituição, Adição e Eliminação
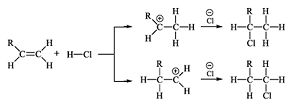
- Química OrgânicaTipos de Reagentes e Mecanismos das Reações Orgânicas

Com relação à figura anterior, marque a alternativa CORRETA.