Magna Concursos
602955 Ano: 2013
Disciplina: Engenharia Elétrica
Banca: CESPE / CEBRASPE
Orgão: MPU
Julgue o item seguinte acerca de circuitos elétricos.

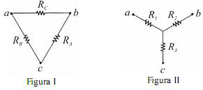
Considere as configurações de resistores mostradas nas figuras abaixo, em que, na figura I, RA = 60 Ω , RB = 40 Ω e RC = 20 Ω. Nessa situação, na conversão da configuração triângulo para estrela, o valor de R3 na figura II será 20 Ω.

Enunciado 602955-1
 

Provas

Questão presente nas seguintes provas

Analista Ministerial - Engenharia Elétrica

120 Questões