Magna Concursos
3834939 Ano: 2024
Disciplina: Matemática
Banca: FACAPE
Orgão: Pref. Petrolina-PE
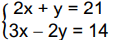
No sistema de equações a seguir, “x” e “y” são a soluções: Enunciado 4754458-1

Assim, o valor de x + y será igual a:
 

Provas

Questão presente nas seguintes provas

Assistente Administrativo

30 Questões

Assistente Educacional

30 Questões

Técnico de Informática

30 Questões