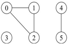
Analise o grafo a seguir.
Com base nesse grafo, assinale a alternativa correta.
Existe um número par de vértices de grau zero.
O total de vértices de grau par é ímpar.
A soma dos graus do grafo é 9.
Existe um total ímpar de arestas.
Olá, para continuar, precisamos criar uma conta! É rápido e grátis.