3113906
Ano: 2024
Disciplina: Engenharia Elétrica
Banca: Instituto Access
Orgão: Pref. Cataguases-MG
Disciplina: Engenharia Elétrica
Banca: Instituto Access
Orgão: Pref. Cataguases-MG
Provas:
Em um projeto de engenharia elétrica para uma instalação de
energia renovável, como um parque eólico, é importante entender
a distribuição da velocidade do vento para otimizar o funcionamento
dos geradores eólicos. Para modelar essa distribuição, é utilizada
uma variável aleatória contínua X que representa a velocidade do
vento em determinada altura, em decâmetros por segundo (10 m/s).
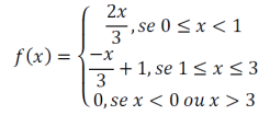
Considere a seguinte função densidade de probabilidade f (x) para a
variável aleatória X:

Dessa forma, o valor esperado para a velocidade do vento, em m/s, é aproximadamente igual a

Dessa forma, o valor esperado para a velocidade do vento, em m/s, é aproximadamente igual a