Magna Concursos
164528 Ano: 2018
Disciplina: Engenharia Eletrônica
Banca: CESGRANRIO
Orgão: Petrobrás

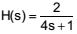
A função de transferência de um circuito é dada por Enunciado 164528-1 .

A resposta, no domínio do tempo, desse circuito ao degrau unitário u(t) é
 

Provas

Questão presente nas seguintes provas

Engenheiro de Equipamentos - Elétrica

70 Questões