Magna Concursos
2798707 Ano: 2023
Disciplina: Física
Banca: IBFC
Orgão: SEED-PR
Provas:

Uma corda de 15 g e 1,5m está fixada por uma das extremidades à haste de um dispositivo vibrador ligado a um gerador de áudio, que a faz oscilar transversalmente, com amplitude de 3 cm e frequência de 5Hz. Uma tensão de 4N é mantida na corda por meio de um bloco e uma polia, conforme ilustrado na figura abaixo.
Enunciado 2798707-1
Fonte: Adaptada de http://demonstracoes.fisica.ufmg.br/demo/59/3B22.10-Ondas-estacionarias-em-uma-corda Enunciado 2798707-2
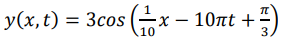
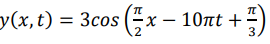
Sabe-se que o deslocamento transversal y da onda, em função do tempo (t) para um ponto da corda localizado a uma distância (x) da extremidade fixa à haste do dispositivo vibrador, no intervalo de tempo em que a onda ainda não chegou à extremidade oposta, é dado pela função:

 

Provas

Questão presente nas seguintes provas

Professor - Física

30 Questões